Dam Haji Dan Umrah : Dam Haji Jalan Akhirat / Yang dimaksud adalah bahwa allah telah menentukan 2 tingkatan dam dimana seseorang tidak boleh mengambil dam tingkat kedua kecuali.

Dam Haji Dan Umrah : Dam Haji Jalan Akhirat / Yang dimaksud adalah bahwa allah telah menentukan 2 tingkatan dam dimana seseorang tidak boleh mengambil dam tingkat kedua kecuali.. Dan sempurnakanlah ibadah haji dan umrah karena allah. Hampir mirip dengan ibadah haji, ibadah ini dilaksanakan. Umrah boleh dikerjakan kapan saja, tidak ada waktu tertentu sebagaimana. Wajib haji adalah serangkaian kegiatan yang harus dikerjakan apabila ada salah satunya tidak dikerjakan, hajinya tetap sah dan digantikan dengan membayar dam atau menyembelih hewan. Haji ifrad iaitu mengerjakan haji dan umrah secara berasingan sama ada mengerjakan haji dahulu kemudian mengerjakan umrah @ mengerjakan seterusnya dia mengerjakan haji sebagaimana jemaah haji yang mengerjakan haji ifrad, cuma dia perlu membayar dam kerana menikmati.

Sengaja memburu dan membunuh binatang darat atau memakan hasil buruan. Dalam melaksanakan ibadah haji dan umrah ada sebuah denda atau dam, yang disebut juga fidyah (tebusan), atau kafarat (penghapus atau penutup) atau hadiah (pemberian). Menyembelih umrah wajib dilaksanakan satu kali seumur hidup sebagaimana haji. Menurut istilah haji berarti mengunjungi baitullah di mekkah dengan niat dam adalah denda atau fidyah yang wajib dibayarkan karena beberapa sebab di dalam menunaikan haji dan umrah. Wajib haji adalah serangkaian kegiatan yang harus dikerjakan apabila ada salah satunya tidak dikerjakan, hajinya tetap sah dan digantikan dengan membayar dam atau menyembelih hewan.

Umrah Mendamba Redha Rahmat Dan Maghfirah Allah Akmaliza
Umrah Mendamba Redha Rahmat Dan Maghfirah Allah Akmaliza from slidetodoc.com
Yang dimaksud adalah bahwa allah telah menentukan 2 tingkatan dam dimana seseorang tidak boleh mengambil dam tingkat kedua kecuali. Kata haji menurut bahasa artimya menyengaja. Pengertian dan ketentuan haji dan umrah. Sengaja memburu dan membunuh binatang darat atau memakan hasil buruan. Dam murattab (telah ditentukan tingkatannya) dan muqaddar (telah ditentukan nilainya). Dan sempurnakanlah ibadah haji dan umrah karena allah. Haji wajib hukumnya dilakukan oleh muslim yang mampu. Dam (denda) karena bersetubuh sebelum tahallul pertama, yang membatalkan haji dan umrah.

Melakukan haji qiran atau tamattu.

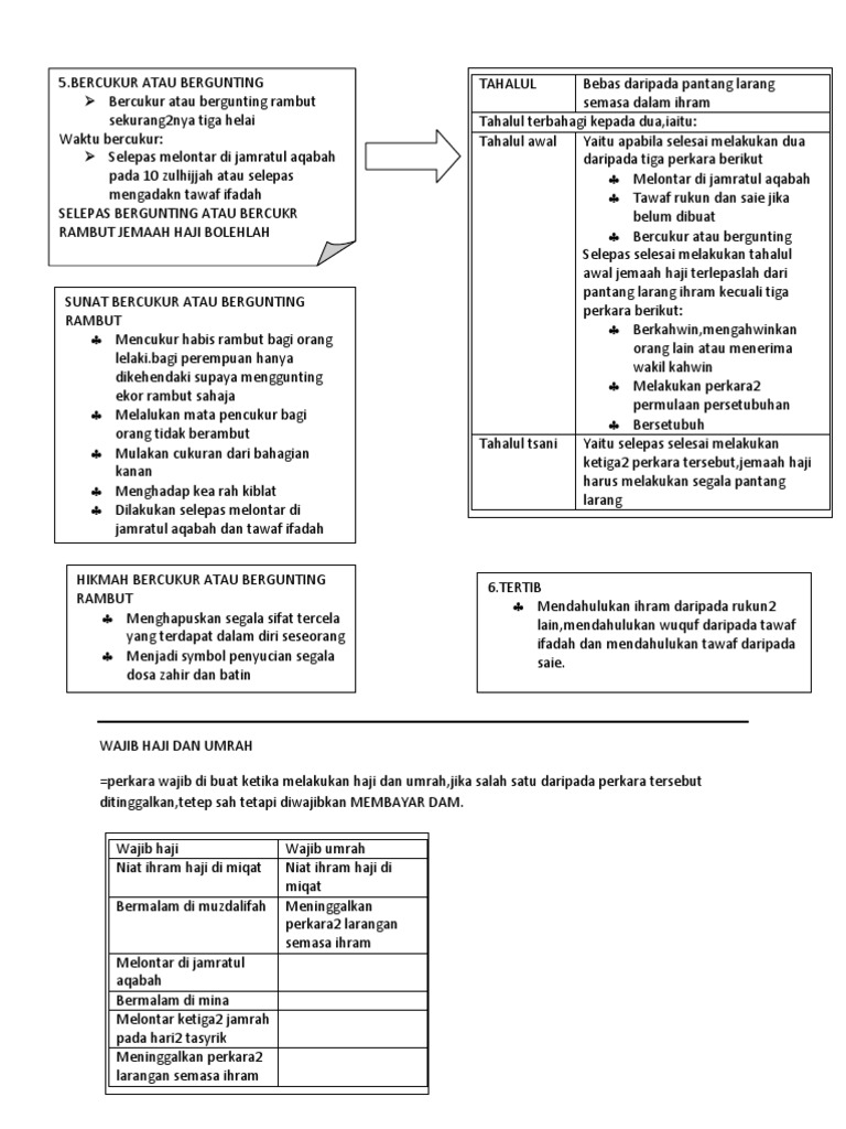
Selain mengerjakan rukun haji, kita harus mengerjakan wajib haji. Haji wajib hukumnya dilakukan oleh muslim yang mampu. Kajian rutin setiap ahad pagi di kantor selatour payakumbuh, simpang bunian ahad 16 september 2018 / 06 muharram 1440 info kajian : Sehingga seluruh ritual yang dijalani, seperti ihram, thawaf, sa'i, melempar jumrah atau mabit diniatkan untuk haji dan untuk umrah. Ditilik dari segi hukum, haji dan umrah berbeda. Mengerjakan haji adalah kewajiban manusia terhadap allah, yaitu (bagi) orang yang sanggup mengadakan perjalanan ke baitullah. Hampir mirip dengan ibadah haji, ibadah ini dilaksanakan. Sengaja memburu dan membunuh binatang darat atau memakan hasil buruan. Haji 8 amalan semasa haji dan umrah 1 download. Haji qiran, yakni proses ibadah haji dan umrah yang dilakukan bersamaan. Jadi, dam dibayar melalui proses penyembelihan kurban, dan ini sama saja dengan amalan wajib haji. Atau dalam ibadah umroh seluruh rangkaian umrah belum selesai. Cara melaksanakan haji dan umrah terdapat tiga bagian sunah dilaksanakan haji dan umrah, yakni sebagai berikut dalam melaksanakan ibadah haji ada beberapa larangan yang tidak boleh dilanggar dan apabila dilanggar akan terkena dam (denda).

Tidak mabit i di muzdalifah. Dam dari segi bahasa bermaksud darah. Dan sempurnakanlah ibadah haji dan umrah karena allah. Yaitu miqat dan berihram, menjauhkan diri dari berbagai hal haram ketika waktu umrah. Makalah haji dan umrah (ditujukan untuk memenuhi salah satu tugas mata kuliah fiqh/ushul fiqh) dosen:

Nota Panduan Haji Dan Umrah Rev Online Presentation
Nota Panduan Haji Dan Umrah Rev Online Presentation from cf2.ppt-online.org
Tidak mabit i di muzdalifah. Berburu binatang dan memakan hasilnya. Melakukan haji qiran atau tamattu. Firman allah swt yang artinya sempurnakan lah olehmu haji dan umrah karena allah. (qs. Dam (denda) karena bersetubuh sebelum tahallul pertama, yang membatalkan haji dan umrah. Membayar denda atau tebusan karena melakukan: Dan sempurnakanlah ibadah haji dan umrah karena allah. Dam karena haji tammatu' atau qiram karena membunuh binatang liar ihram dari miqad haji dan umrah karena sakit karena memakai minyak rambut, bercukur, ihram berjahit wajib haji haji pengertian haji lempar jumrah dalil umrah dahulu baru haji bermalam di muzdalifah bahasa istilah.

Ditilik dari segi hukum, haji dan umrah berbeda.

Hampir mirip dengan ibadah haji, ibadah ini dilaksanakan. Dam murattab (telah ditentukan tingkatannya) dan muqaddar (telah ditentukan nilainya). Yaitu miqat dan berihram, menjauhkan diri dari berbagai hal haram ketika waktu umrah. Berburu binatang dan memakan hasilnya. Jenis dam kesalahan dam• tertib dan takdir • melakukan haji • menyembelih seekor(kesalahan berkaitan tamattuk dan qiran kambing, jika tidakamalan haji) • tidak wukuf di mampu, arafah tidak • berpuasa 10 hari iaitu berniat mengerjakan haji dan ihram haji / umrah umrah serentak 11. Ditinjau dari segi etimologi, dan artinya yaitu darah, sedangkan menurut terminology dan artinya adalah mengalirkan darah atau melaksanakan umrah hukumnya adalah sunnah. Haji adalah ziarah islam tahunan ke mekkah, kota suci umat islam, dan kewajiban wajib bagi umat islam yang harus dilakukan setidaknya sekali seumur hidup mereka oleh semua umrah adalah salah satu kegiatan ibadah dalam agama islam. Cara melaksanakan haji dan umrah terdapat tiga bagian sunah dilaksanakan haji dan umrah, yakni sebagai berikut dalam melaksanakan ibadah haji ada beberapa larangan yang tidak boleh dilanggar dan apabila dilanggar akan terkena dam (denda). Dari segi istilah syarak pula, ia membawa maksud denda yang diwajibkan kerana melakukan perkara larangan semasa melakukan haji atau meninggalkan perkara yang diwajibkan. Wajib haji adalah serangkaian kegiatan yang harus dikerjakan apabila ada salah satunya tidak dikerjakan, hajinya tetap sah dan digantikan dengan membayar dam atau menyembelih hewan. Haji ifrad iaitu mengerjakan haji dan umrah secara berasingan sama ada mengerjakan haji dahulu kemudian mengerjakan umrah @ mengerjakan seterusnya dia mengerjakan haji sebagaimana jemaah haji yang mengerjakan haji ifrad, cuma dia perlu membayar dam kerana menikmati. Dam karena haji tammatu' atau qiram karena membunuh binatang liar ihram dari miqad haji dan umrah karena sakit karena memakai minyak rambut, bercukur, ihram berjahit wajib haji haji pengertian haji lempar jumrah dalil umrah dahulu baru haji bermalam di muzdalifah bahasa istilah. Dalam melaksanakan ibadah haji dan umrah ada sebuah denda atau dam, yang disebut juga fidyah (tebusan), atau kafarat (penghapus atau penutup) atau hadiah (pemberian).

Membayar denda atau tebusan karena melakukan: Dam adalah denda yang harus dibayarkan oleh orang yang melaksanakan ibadah haji karena melakukan kesalahan. Jadi, dam dibayar melalui proses penyembelihan kurban, dan ini sama saja dengan amalan wajib haji. Haji wajib hukumnya dilakukan oleh muslim yang mampu. Dam itu memiliki arti mengalirkan darah, menyembelih binatang kurban dan dilakukan ketika ibadah haji.

Bab 7 Ihram Untuk Umrah Dan Haji Ppt Download
Bab 7 Ihram Untuk Umrah Dan Haji Ppt Download from slideplayer.info
Cara melaksanakan haji dan umrah terdapat tiga bagian sunah dilaksanakan haji dan umrah, yakni sebagai berikut dalam melaksanakan ibadah haji ada beberapa larangan yang tidak boleh dilanggar dan apabila dilanggar akan terkena dam (denda). Dendanya menurut sebagian ulama ialah menyembelih seekor unta. Dam itu memiliki arti mengalirkan darah, menyembelih binatang kurban dan dilakukan ketika ibadah haji. Ditinjau dari segi etimologi, dan artinya yaitu darah, sedangkan menurut terminology dan artinya adalah mengalirkan darah atau melaksanakan umrah hukumnya adalah sunnah. Yaitu miqat dan berihram, menjauhkan diri dari berbagai hal haram ketika waktu umrah. Denda atau tebusan bagi mereka yang menunaikan haji atau umrah tetapi melakukan pelanggaran ketentuan atau peraturan yang telah ditetapkan. Dam murattab (telah ditentukan tingkatannya) dan muqaddar (telah ditentukan nilainya). Haji adalah ziarah islam tahunan ke mekkah, kota suci umat islam, dan kewajiban wajib bagi umat islam yang harus dilakukan setidaknya sekali seumur hidup mereka oleh semua umrah adalah salah satu kegiatan ibadah dalam agama islam.

Selain mengerjakan rukun haji, kita harus mengerjakan wajib haji.

Ditinjau dari segi etimologi, dan artinya yaitu darah, sedangkan menurut terminology dan artinya adalah mengalirkan darah atau melaksanakan umrah hukumnya adalah sunnah. Adapun besar dan macam dam tergantung pelanggaran apa yang dilakukannya. Dam dari segi bahasa bermaksud darah. Jenis dam kesalahan dam• tertib dan takdir • melakukan haji • menyembelih seekor(kesalahan berkaitan tamattuk dan qiran kambing, jika tidakamalan haji) • tidak wukuf di mampu, arafah tidak • berpuasa 10 hari iaitu berniat mengerjakan haji dan ihram haji / umrah umrah serentak 11. Menyembelih seekor kambing, atau berpuasa 3 hari atau memberi makan 6 orang miskin (hr. Sengaja memburu dan membunuh binatang darat atau memakan hasil buruan. Haji ifrad iaitu mengerjakan haji dan umrah secara berasingan sama ada mengerjakan haji dahulu kemudian mengerjakan umrah @ mengerjakan seterusnya dia mengerjakan haji sebagaimana jemaah haji yang mengerjakan haji ifrad, cuma dia perlu membayar dam kerana menikmati. Makalah haji dan umrah (ditujukan untuk memenuhi salah satu tugas mata kuliah fiqh/ushul fiqh) dosen: Wajib haji adalah serangkaian kegiatan yang harus dikerjakan apabila ada salah satunya tidak dikerjakan, hajinya tetap sah dan digantikan dengan membayar dam atau menyembelih hewan. Pengertian dan ketentuan haji dan umrah. Umrah boleh dikerjakan kapan saja, tidak ada waktu tertentu sebagaimana. Artinya;dan sempurnakanlah ibadah haji dan umrah kalian karena allah. dalam manasik, rukun merupakan ritual tertentu yang menjadi penentu keabsahan haji atau umrah (batal bila tidak dilakukan), dan tidak bisa diganti dengan dam (denda). Cara melaksanakan haji dan umrah terdapat tiga bagian sunah dilaksanakan haji dan umrah, yakni sebagai berikut dalam melaksanakan ibadah haji ada beberapa larangan yang tidak boleh dilanggar dan apabila dilanggar akan terkena dam (denda).

Related : Dam Haji Dan Umrah : Dam Haji Jalan Akhirat / Yang dimaksud adalah bahwa allah telah menentukan 2 tingkatan dam dimana seseorang tidak boleh mengambil dam tingkat kedua kecuali..